报告人:蒋美跃(北京大学)
报告时间:2025年12月11日(星期四)16:00-18:00
报告地点:科技楼南楼706室
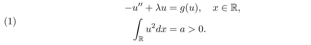
报告摘要:In this talk we will present an alternative approach to the normalized solutions (λ, u) of the 1-D nonlinear Schrödinger equation:

Given λ > 0, it is easy to see there is a solution $u_λ\in H^1(\mathbb{R}) $ of

which is called a homoclinic solution in dynamical systems. We will give a detail
analysis of $\int_{\mathbb{R}} u_λ^2 dx$ as λ varies from 0 to ∞: As consequences, some well known results of solutions of (1) are recovered.
报告人简介:蒋美跃,北京大学数学科学公司教授、博士生导师。主要研究方向为非线性分析,在Hamilton系统、非线性椭圆方程、非光滑分析以及临界群理论等方面取得了系列重要研究成果,他的主要成果发表在包括Ann. Inst. H. Poincaré Anal. Non Linéaire、Bull. London Math. Soc.、Manuscripta Math.、Calc. Var. Partial Differential Equations、JDE、Sci. China Ser. A等国际知名学术期刊上,特别是在辛几何中关于Lagrangian子流形相交问题的Arnold猜测、带障碍的Hamilton系统周期解问题、ROF泛函极小问题、曲线曲率流自相似解、1-Laplace方程等方面取得了一系列具有很高学术价值和理论意义的研究成果,受到多位国际知名数学家的高度评价,并被用来解决其它一些重要数学问题。
邀请人:戴峰